1. Elastic Plastic Stress Analysis 란?
일반적으로 ASME Code를 활용한 구조 건전성 평가 시 Elastic Stress Analysis를 통해 압력용기의 주요 위치에서 평가를 진행합니다. 이때 해당 위치에서 기준을 충족하지 못하거나, 또는 응력 분류가 모호하여 판단이 불명확한 경우, Elastic Plastic Stress Analysis를 대안으로 적용하여 재평가를 수행할 수 있습니다. Elastic Plastic Stress Analysis는 Elastic Plastic Material을 사용하여 해석 수렴(Convergence) 여부에 따라 전체 영역에서의 소성 붕괴 발생 가능성을 판단하며, 두께 또는 형상이 Part 5에 따라 결정된 부위에 대해서는 형상의 국부 평가(ASME BPVC, Section VIII, Div.2, Part 5, 5.3 Local Failure)를 추가로 검토해야 합니다. 반면, 해당 부위가 Part 4에 따라 설계된 경우에는 Local Failure 평가가 필수는 아니며, 본 원고에서는 Local Failure 방법은 다루지 않습니다.
2. Elastic Plastic Stress Analysis 절차
Step 1
- 설계 시 고려해야 할 모든 하중(Loads) 정리
- 유한요소모델(FE Model) 작성
Step 2
- Elastic Plastic 물성 정의
1) ASME BPVC, Section II, Part D 참조
2) ASME BPVC, Section VIII Div.2 ANNEX 3-D 참조하여 True Stress-Strain Curve 생성
- 설계 시 고려하는 하중 조건은 ASME Section VIII Div.2 Part 5 Table 5.5 참조
Step 3
- Elastic Plastic 평가 수행
1) 적용된 하중 조건에서 해석이 수렴(Convergence)하면 만족이며, 발산(Divergence)하면 기준 불만족
3. Elastic Plastic Stress Analysis 예제
Step 1
- Material – Shell and Head : SA-516, Grade 70, Normalized
- Material – Forgings : SA-105
- Internal Pressure : 420 psi at 125ºF
- Corrosion Allowance : 0.125 in
- PWHT : Yes
예제에 사용된 압력용기 형상의 GA 도면은 [그림 1]과 같습니다. 압력용기 형상은 Axisymmetric으로 작성하였으며, Shell과 Head의 물성은 SA-516, Grade 70을 Forgings에는 SA-105 물성을 적용하였습니다. 설계 조건은 125ºF 에서 내압 420 psi입니다.
[그림 1] GA 도면
Step 2
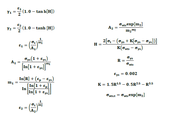
물성 정의 시에는 True Stress-Starain Curve를 사용해야 하므로, ASME Section VIII Div.2 ANNEX 3-D를 참조하여 [수식 1]을 통하여 계산합니다. 계산에 필요한 입력 값은 다음과 같습니다.
- Modulus of Elasticity
- Poisson’s Ratio
- Engineering Yield Stress
- Engineering Ultimate Tensile Strength
추가적으로 Material Type M2 값을 선정합니다. 이 값은 ASME Section VIII Div.2 Part 3 ANNEX Table 3-D.1([그림 2] 참조)을 통해 결정하며, 본 예제의 Ferritic Steel로 M2 값은 0.6을 사용합니다.
※ 수식에서 사용되는 용어는 ASME Section VIII Div.2 Part-3 ANNEX 3-D.6 참조

[수식 1] Stress-Strain Curve

[그림 2] Stress-Strain Curve Parameters
계산된 결과는 [그림 3]과 같이 Ansys Mechanical™에서 Table Data로 입력하며, 그래프를 통해 입력 데이터를 확인할 수 있습니다.

[그림 3] Ansys MechanicalTM에서 물성 정의
하중조건은 ASME Section VIII Div.2에서 Table 5.5[그림 4]를 참조하여 정의합니다. 본 예제의 경우 압력 용기의 내압(420 psi)만 존재하므로 Global 항목에서 (1)번을 사용하며, 베타(β) 값은 Load Factor로 결정됩니다. 베타 값은 Table 4.1.3에서 확인할 수 있으며, Class 2의 베타 값인 2.4를 사용합니다. 따라서 2.4 × 420 psi = 1,008 psi로 해석을 진행합니다.
마지막으로 Nozzle에 Blow-off Load를 하중 조건으로 추가 적용하며, 최종 하중 및 경계 조건은 [그림 5]와 같습니다.

[그림 4] ASME Section VIII Div.2 Part 5, Table 5.5 및 Table 4.1.3

[그림 5] 하중 및 경계조건
Step 3
Step 1과 Step 2가 완료되었다면 해석을 수행합니다. Fig. 6에서 좌측 결과는 Step 2에서 정의한 하중 조건(내압 1,008 psi)의 결과이며, 우측 결과는 임의로 하중 조건(내압)을 1,500 psi로 설정한 경우의 결과입니다. 좌측 결과는 수렴(Convergence)되어 기준을 만족하는 것으로 나타났으나, 우측 결과는 발산(Divergence)하여 기준을 충족하지 못합니다.

[그림 6] 해석 결과
위의 과정을 통하여 구조 건전성 평가 기준을 만족하였다면, 두께 또는 형상이 Part 5의 Design-by-Analysis에 따라 결정된 부위에 한하여, 앞서 언급한 바와 같이 형상의 국부 평가(ASME BPVC, Section VIII, Div.2, Part 5, 5.3 Local Failure)를 추가로 검토할 수 있습니다. Part 4에 따라 설계된 부위는 Local Failure 평가가 필수는 아닙니다.
복잡한 규격을 이해하고 해석에 적용할 수 있을까? 하는 고민도 물론 중요하지만, 본 원고를 참고하여 차근차근 해석을 시작해 보시는 것은 어떨까요? 다양한 규격을 기반으로 구조 건전성 평가를 수행하는 독자 여러분께 이 내용이 실질적인 도움이 되기를 바랍니다.