하모닉 해석에서 점탄성 물성 적용 방법 및 결과 분석 팁
하모닉 해석에서 점탄성 물성 적용 방법 및 결과 분석 팁
다양한 대상에 대해 주파수에 대한 하모닉 해석(조화 해석)을 하다 보면, 재료 설정의 제약 때문에 불편한 경우가 종종 발생한다. 특히, 고유진동수와 동일한 주기의 하중이 가해질 경우 보다 정확한 예측이 필요할 경우들이 생긴다. 모든 비선형성을 포함하여 예측하려면 주파수 개념이 아닌 시간 단위 하중을 적용하여 시간 이력 해석을 수행해야 하지만 후처리가 불편하고, 시간이 오래 걸린다는 단점이 발생한다.
이러한 하모닉 해석에서 모든 비선형성을 고려하는 방법이 있으면 좋겠지만 현재는 존재하지 않는다. 비선형 물성 중 일부지만 점탄성 물성을 하모닉 해석에 사용이 가능하며, 이에 대해 소개하고자 한다.
1. 점탄성 물성
점탄성(粘彈性, viscoelasticity)은 재료가 외력에 대해 탄성 변형과 점성 흐름을 동시에 보이는 물성으로, 고분자, 생체 조직, 고무 등에서 흔히 관찰된다. 이 성질은 시간에 의존적이며, 크리프(지속 응력 하 변형 증가)와 응력 완화(고정 변형하 응력 감소) 등의 현상을 특징으로 한다. 그러나 하모닉 해석에서는 주파수 형태로 변경되기 입력되기 때문에 시간에 따른 변화(크리프, 응력완화 등)와 같은 효과는 적용하지 않으며, 변형률이 주파수에 대한 하모닉 성분으로 표현된다.
1.1 정의와 특징
점탄성은 이상적인 탄성체(즉시 복원)와 점성체(시간 지연 흐름)의 조합으로, 히스테리시스(응력-변형 곡선의 루프)와 변형률 의존적 강성을 보인다. 이러한 특성은 분자 수준에서 일시적 얽힘(entanglement)으로 설명되며, 에너지 소산(진동 감쇠)에 유리하다. 이러한 특성은 과도해석에서는 충분히 나타나지만 하모닉 해석에서는 선형 형태로 변경하여 적용하게 된다.
1.2 기본 모델
점탄성 모델은 대표적으로 Kelvin-Voigt 모델(스프링과 대시포트 병렬 연결)과 Maxwell 모델(직렬 연결)이 있다.
- Kelvin-Voigt: σ=Eε+ηε ? 으로 크리프 거동 설명
- Maxwell: ε ?=σ ?/E+σ/η 로 응력 완화 표현
실제 해석에서는 Prony series(일반화 Maxwell 모델)를 사용해 다중 이완 시간(multi relaxation time)으로 근사화 한다.
1.3 하모닉 해석에 적용 가능한 점탄성 모델
Ansys MAPDL 기준으로 제공되는 점탄성 관련 항목은 아래 표와 같다.
[표] 하모닉 해석에서 점탄성 관련 항목
|
관련 항목
|
Small-Deformation
|
Large-Deformation
|
|
Prony Series Complex Modulus
|
O
|
O
|
|
Experimental Data Complex Modulus
|
O
|
X
|
|
Frequency-Temperature Superposition
|
O
|
O
|
|
Stress
|
O
|
O
|
* Ansys Help 경로 참고 : MAPDL > Material Reference > Nonlinear Material Properties > Viscoelasticity > Harmonic Viscoelasticity
Ansys Mechanical에서 하모닉 해석에 사용되는 점탄성 모델은 Prony series와 실험 데이터를 기반으로 구현되며, Ansys Mechanical에서는 Prony series를 입력할 수 있으며, 이때 Engineering Data에 있는 Viscoelasticity 섹션에서 시간 영역 Prony series(Shear 및 Bulk relaxation)를 입력하면 하모닉 해석에서 주파수 의존 형태인 복소 모듈러스(complex modulus)로 변환된다.
위에 언급된 관련항목 중 ‘Experimental Data Complex Modulus’와 ‘Frequency-Temperature Superposition’은 Workbench Mechanical에서는 MAPDL 명령어로만 입력 가능하기 때문에 Ansys help를 참고해서 입력해야 된다.
아래의 수식들은 점탄성에 입력한 물성값이 소변형과 대변형일 경우에 따라, 물성(복소수 형태로 입력)이 입력되고 응력을 출력하는데 있어 차이가 있음을 참고하기 위해 기술하였다.
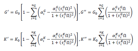
1.3.1 Small-Deformation일 경우
여기에서
-
여기에서 storage와 loss 항목은 Prony 변수로 다음과 같이 관련된다.
실수 및 허수의 응력 성분 크기는 다음과 같다.
1.3.2 Large-Deformation일 경우
Perturbed full 하모닉 해석으로 진행해야 되며, prestress 상태의 하모닉 해석만 가능하다.
따라서 변형된 점탄성 물성은 아래와 같이 deviatoric 과 bulk stiffness로 표현된다.
여기에서

하모닉 해석에 의한 perturbed stress는 다음과 같다.

여기에서

2. 하모닉 해석에 점탄성 물성 적용 예
대변형 효과가 ‘적용되지 않은 경우(1.3.1Small-Deformation)’와 ‘적용되는 경우(1.3.2Large-Deformation)’를 구분하여 해석 시스템을 구성하여 결과를 비교하여 보았다.

[그림] Ansys Workbench에서 점탄성 적용 하모닉 해석 시스템 예
위 그림은 예제로 제공할 시스템의 구성이며, 단순 외팔보 형태의 모델을 대상으로 물성에 대해 효과만을 테스트하였다. 시스템 A, B, C는 대변형 효과를 적용하지 않은 경우의 하모닉 해석이며 시스템 E만이 대변형 효과가 적용된 perturbed 하모닉 해석 시스템이다. 변형율이 대략 0.003 이하라면 일반적으로 small deformation을 사용하면 되지만, 상황에 따라 차이가 있을 수 있어 analysis setting>large deformation 옵션을 off와 on을 적용해서 비교해보면 된다.
외팔보에서 자유단 끝단면에 단위하중(1N)을 길이의 수직방향으로만 가했으며, 시스템 A에는 선형 물성을 적용하고 나머지는 동일한 점탄성 물성을 사용하였으며, 사용한 물성은 아래 그림 과 같다. 물성 이름에 ‘Prony’가 붙은 물성이 ‘Prony Shear Relaxation’을 적용한 상태이며 ‘Linear’가 붙은 물성 이름에는 ‘Prony Shear Relaxation’을 제외하고는 모두 동일한 물성값을 갖고 있다.
점탄성에 효과는 하모닉 해석에서 full method가 적용된 경우에만 고려되며, MSUP method에서는 점탄성 물성이 입력되어 있어도 선형 물성만 반영된다.
[그림] 점탄성 물성 예
3. 하모닉 해석에 점탄성 물성을 적용시 주의 사항
하모닉 해석시 점탄성을 입력할 때 Ansys Workbench의 ‘Engineering Data’에서 ‘Filter Engineering Data’항목이 기본값으로 활성화되어 있어, 비선형 항목인 점탄성 항목이 표시되지 않는다. 해당 필터를 비활성화 하고 ‘Viscoelastic’에서 ‘Prony Shear Relaxation’을 추가해서 입력해야 된다.
[그림] Ansys Workbench에서 점탄성 물성 입력
앞서 소개했듯이 해석 method는 반드시 full을 선택해야 한다. 점탄성 물성은 일반적으로 외력에 대해 큰 변형이 발생하는 경우가 많기 때문에 해석 대상의 상태를 고려하여 대변형을 포함한 하모닉 해석을 수행할지, 아니면 상태를 나타내는 해석(static 또는 transient)과 별도의 하모닉 해석을 수행한 뒤 Solution Combination을 이용해 결과를 결합하는 방법을 사용할지 결정해야 한다. 이때 실험을 수행하여 비교 후 선택하는 것이 가장 좋으며, 만약 그럴 상황이 되지 못한다면, ‘Solution Combination’을 사용하는 것이 조금 더 현실적인 것으로 판단된다.
[그림] Ansys Mechanical에서 Solution Combination 기능 아이콘(Model Tab)
4. 결과 비교
외팔보의 끝단에서 가속도의 비교 그래프는 아래 그림과 같다.
[그림] 하모닉 해석 방법 별 결과 비교 그래프
대변형을 고려하지 않았을때, 선형 물성인 경우(검정 얇은 실선)와 점탄성 물성이 적용된 MSUP(푸른 점선)와는 차이가 거의 없으며, 45Hz에서부터 발생하는 차이는 method에서 발생한 차이이다.
대변형을 포함하는 경우 전 하중이 고려되어 있기 때문에 절대적인 비교는 어렵지만 점탄성이 적용된 대변형 해석결과(적색 점선)는 선형 물성이 적용된 perturbed 해석(검정 굵은 실선)과 차이가 발생하였다.
해당 결과는 실험값과 비교한 것이 아니므로 method 간 차이만 확인할 수 있으며, 추후 해석을 통해 예측할 때에는 실험값과 비교할 필요가 있다.
5. 하모닉 해석 결과 분석 팁
주파수에 따른 결과를 그래프로 출력하거나 그래픽으로 출력할 때 포함되는 노드가 여러 개일 경우(단일 노드를 지정하지 않는 경우를 제외한 모두) 결과를 얻으려고 하는 주파수에서 각 노드별로 최대값을 갖는 위상은 서로 다르다. 이를 보안하기 위해서 만든 옵션이 ‘Amplitude’ 이다. 이 옵션은 특정 주파수에서 노드별로 갖는 real값과 imaginary값을 제곱하여 더한 후 다시 루트를 씌워 크기 값 만을 출력한다. 따라서 별도의 위상을 입력하지 않아도 그래픽으로 출력하는 값을 특정 주파수에서 출력할 수 있다.
[그림] 하모닉 해석 결과 – Amplitude 옵션 비활성화
[그림] 하모닉 해석 결과 – Amplitude 옵션 활성화
6. 맺음말
하모닉 해석에서 비선형 물성을 직접 고려하는 것은 기본적인 선형 방법(주파수 개념이 포함된 equation method)에서는 불가능하지만, 위에서 소개한 바와 같이 점탄성 물성에 한하여 시간에 따른 소산되는 효과를 제외하고는 적합한 해석 방법이다.
점탄성이 적용될 만한 사례는 신체의 고막과 같은 부분이나 고무와 같은 물성이 대표적이며, 음향해석과 같이 유체와 연성 되는 구조물에도 적용이 가능하다. 다만 음향해석의 경우 점탄성 물성은 하모닉 acoustic 해석 시스템 단독으로 적용시 비활성화 되기 때문에, 정적 acoustic에 하모닉 acoustic을 연결(perturbed)할 경우에만 점탄성 물성을 적용할 수 있다. 점탄성 물성을 제한적이지만 하모닉 해석에 적용 가능함을 확인할 수 있으며, 이를 통해 보다 폭넓은 해석 수행에 도움이 되기를 바란다.